事实上可以自己推:
二次函数的另一种表达方式:
a(x-m)²+n
其中m为横坐标,n为纵坐标
展开后
ax²-2amx+m²+n
∴正版二次函数标准式
a x²+ b x+ c
a x²-(2am)x+(m²+n)
∴m=b/(-2a)
n=c-4a²
所以二次函数的顶点式:
(-b/2a,c-4a²)
y=a(x-h)²+k顶点坐标P(h,k)
y=a*X^2+b*X+c,这是基本的公式,可转化成


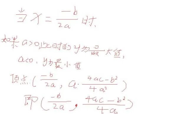
还是手写比较快!!
事实上可以自己推:
二次函数的另一种表达方式:
a(x-m)²+n
其中m为横坐标,n为纵坐标
展开后
ax²-2amx+m²+n
∴正版二次函数标准式
a x²+ b x+ c
a x²-(2am)x+(m²+n)
∴m=b/(-2a)
n=c-4a²
所以二次函数的顶点式:
(-b/2a,c-4a²)
y=a(x-h)²+k顶点坐标P(h,k)
y=a*X^2+b*X+c,这是基本的公式,可转化成


还是手写比较快!!