1/4+1/9
=9/36+4/36
=13/36
扩展资料:
分数加法的计算方法:
1、同分母分数相加,分母不变,即分数单位不变,分子相加,能约分的要约分。
2.异分母分数相加,先通分,即运用分数的基本性质将异分母分数转化为同分母分数,改变其分数单位而大小不变,再按同分母分数相加去计算,最后能约分的要约分。
3.带分数相加,把各个加数中的整数部分相加所得的和作为和的整数部分,再把各个加数中的分数部分相加所得的和作为和的分数部分。
若得的分数部分为假分数,要化为整数或带分数,并将其整数再加入整数部分;或者把全部加数中的带分数先化为假分数,再按分数加法的法则求和,然后将结果仍化为带分数或整数。
4.每次加得的和,都要约分化成最简分数;如果所得的和是假分数,要化成整数或带分数。
等于36分之13
找出4和9的最小公倍数36,把它们通分,4分之1等于36分之9,9分之1等于36分之4,把4加9等于13,就等于36分之13
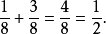
1、同分母分数相加,分母不变,即分数单位不变,分子相加,能约分的要约分。
例1:

例2:

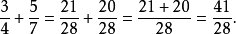
2、异分母分数相加,先通分,即运用分数的基本性质将异分母分数转化为同分母分数,改变其分数单位而大小不变,再按同分母分数相加去计算,最后能约分的要约分。
例1:

例2:

3、带分数相加,把各个加数中的整数部分相加所得的和作为和的整数部分,再把各个加数中的分数部分相加所得的和作为和的分数部分,若得的分数部分为假分数,要化为整数或带分数,并将其整数再加入整数部分。
或者把全部加数中的带分数先化为假分数,再按分数加法的法则求和,然后将结果仍化为带分数或整数。
扩展资料:
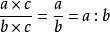
分子在上,分母在下,也可以把它当做除法来看,用分子除以分母(因0在除法不能做除数,所以分母不能为0),相反除法也可以改为用分数表示。
分数可以表述成一个除法算式:如二分之一等于1除以2。其中,1 分子等于被除数,- 分数线等于除号,2 分母等于除数,而0.5分数值则等于商。
分数还可以表述为一个比,例如;二分之一等于1:2,其中1分子等于前项,—分数线等于比号,2分母等于后项,而0.5分数值则等于比值。分数的基本性质:分数的分子和分母都乘以或都除以同一个不为零的数,所得到的分数与原分数的大小相等。

(b、c不等于零)分数还有一个有趣的性质:一个分数不是有限小数,就是无限循环小数,像π等这样的无限不循环小数,是不可能用分数代替的。
分数的另一个性质是:当分子与分母同时乘或除以相同的数(0除外),分数值不会变化。因此,每一个分数都有无限个与其相等的分数。利用此性质,可进行约分与通分。
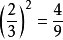
对分数进行次方运算结果不可能为整数,且如果运算前是最简的分数,则结果也会是最简,如

参考资料来源:
找出4和9的最小公倍数36,把它们通分,4分之1等于36分之9,9分之1等于36分之4,把4加9等于13,就等于36分之13

13分之二
